
В ветеринарной хирургии есть особая сложность, с которой не сталкиваются врачи, работающие с людьми: пациенты не могут объяснить, где именно у них болит и что они чувствуют.
Хирурги, работающие с людьми, могут опираться на описание симптомов, уточнять характер боли и получать осознанное согласие пациента на проведение процедуры. Ветеринарные хирурги лишены этой возможности. Они полностью полагаются на медицинские снимки, собственный опыт и способность преобразовывать двумерные изображения в точное трёхмерное представление анатомии, с которой им предстоит работать.
В области, где допустимая погрешность крайне мала, именно на этапе такого мысленного преобразования может возникнуть ошибка.
Особенности ветеринарной ортопедии
Ортопедическая хирургия делает задачу ещё сложнее.
Даже небольшая ошибка при установке импланта, выборе угла сверления или позиционировании винта может привести к серьёзным последствиям: повторной операции, длительному восстановлению или ухудшению состояния пациента.
Дополнительную сложность создаёт большое анатомическое разнообразие животных. Например, бедренная кость немецкого дога и таксы различаются не только размерами — их форма и структура могут существенно отличаться. Это значительно усложняет использование стандартных имплантов и хирургических подходов.
Традиционно основным инструментом хирурга в таких ситуациях является опыт. С годами практики формируется своеобразная «ментальная библиотека» анатомических вариаций, которая помогает предугадывать особенности конкретного случая.
Однако у этого подхода есть ограничения. Опыт всегда остаётся личным, его трудно передать другим специалистам, а необычные случаи могут возникнуть в любой момент.
Репетиция операции как новый подход
Современная медицина всё чаще использует другой подход — предварительную репетицию хирургических вмешательств.
Принцип здесь прост: если врач может заранее отработать процедуру, неопределённость реальной операции значительно уменьшается.
Пилоты тренируются на симуляторах. Архитекторы используют физические модели. Хирурги всё чаще применяют анатомические 3D-модели, напечатанные по данным медицинской томографии.
Физическая модель кости — это уже не абстрактная иллюстрация из учебника, а точная копия анатомии конкретного пациента. Её можно держать в руках, вращать, изучать со всех сторон и использовать для планирования операции.
Такой подход позволяет:
- заранее выявить потенциальные сложности;
- проверить посадку импланта;
- спланировать траекторию винтов;
- определить оптимальный хирургический доступ.
Фактически хирург получает возможность «репетировать» операцию ещё до того, как пациент окажется под анестезией.
Сложности внедрения технологии
Несмотря на очевидные преимущества, внедрение таких моделей в повседневную клиническую практику долгое время оставалось сложной задачей.
Технология должна одновременно соответствовать нескольким требованиям:
- высокая анатомическая точность;
- достаточная скорость изготовления;
- возможность вписаться в рабочий процесс клиники;
- создание прочных и функциональных моделей без внутренних дефектов.
Долгое время объединить все эти требования было непросто.
Практика доктора Себастьяна
Ветеринарный хирург доктор Себастьян регулярно сталкивался с этой проблемой в своей практике. В поиске более эффективного решения он начал использовать технологию 3D-печати для подготовки к операциям.
Его предоперационный процесс включает несколько этапов:
- получение КТ-сканов повреждённой кости;
- виртуальное хирургическое планирование в специализированном программном обеспечении;
- 3D-печать анатомической модели и репетиция операции.

Преобразуя медицинские сканы в физические модели костей, доктор Себастьян может заранее изучить анатомию пациента, протестировать хирургическую стратегию и подготовиться к операции значительно точнее.
Ограничения традиционных технологий 3D-печати
Ранее в работе использовались SLA/LCD 3D-принтеры, которые действительно обеспечивали высокую точность печати. Однако при изготовлении полых моделей костей часто возникала необходимость в использовании внутренних поддержек.
Такие поддержки было невозможно полностью удалить из внутренней полости модели. В результате получались модели, которые в критически важных зонах теряли анатомическую точность.
Кроме того, крупные или сложные кости нередко приходилось печатать из нескольких частей и затем склеивать. Это увеличивало время подготовки и могло вносить дополнительные погрешности.

Сама технология печати смолой также требует сложной постобработки. Работа с фотополимерными материалами связана с использованием токсичных веществ, что требует организации дополнительной вентиляции и оборудования для очистки воздуха.
Для инструмента, который должен упрощать работу хирурга, это добавляло существенную сложность.
Решение с Bambu Lab H2D
В поиске более удобного решения доктор Себастьян начал использовать 3D-принтер Bambu Lab H2D.

Система с двумя печатающими головками позволила применять растворимые материалы для поддержек, а увеличенный объём печати сделал возможным создание полноразмерных моделей костей за один запуск.
Использование растворимых поддержек стало ключевым преимуществом. После печати они полностью растворяются, оставляя чистую внутреннюю полость модели. Это позволяет сохранить анатомическую точность костномозгового канала и избежать внутренних дефектов.
Таким образом была решена одна из основных проблем, возникающих при использовании SLA/LCD 3D-печати.
Многоматериальная печать
Дополнительные возможности открыла поддержка печати несколькими материалами.
Теперь доктор Себастьян может создавать комбинированные модели, в которых одновременно отображаются:
- костная структура;
- имплант;
- элементы фиксации.
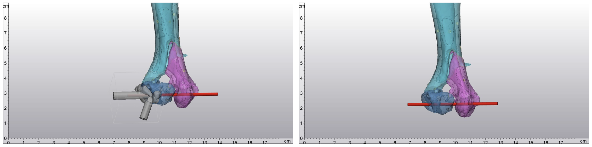
Это позволяет заранее проверить взаимодействие всех компонентов будущей операции.
Хирург может устанавливать винты и другие элементы фиксации непосредственно в напечатанную модель, имитируя реальную операцию и выбирая оптимальную хирургическую стратегию.

Результаты внедрения
Использование Bambu Lab H2D быстро оказало заметное влияние на рабочий процесс.
Анатомически точные модели значительно упростили подготовку к операциям. Во многих случаях кости животных теперь можно печатать одной цельной деталью — без сборки из нескольких частей.
Это позволило:
- сократить время подготовки;
- уменьшить объём постобработки;
- сосредоточиться на хирургическом планировании.
Печать несколькими материалами дополнительно расширила возможности подготовки, позволяя создавать более реалистичные симуляции хирургических вмешательств.
Перспективы развития
Доктор Себастьян планирует стандартизировать использование 3D-печати в своей практике.
В перспективе он намерен создать библиотеку анатомических моделей и моделей патологий — как распространённых, так и редких. Такие модели будут использоваться для:
- обучения сотрудников клиники;
- подготовки молодых специалистов;
- тренировки сложных хирургических процедур.
Его долгосрочная цель — сформировать устойчивую систему применения аддитивных технологий в ветеринарной медицине.
Новые возможности для ветеринарной хирургии
Использование Bambu Lab H2D позволило доктору Себастьяну:
- ускорить подготовку к операциям;
- создавать более точные анатомические модели;
- значительно повысить качество предоперационного планирования.
А значит — лучше готовиться к сложным хирургическим вмешательствам и повышать шансы на успешное лечение пациентов.
Внедрение технологии
3D-принтеры Bambu Lab доступны для приобретения у официального импортёра Bambu Lab в России.
Помимо поставки оборудования мы проводим обучение и помогаем клиентам внедрять технологии 3D-печати в реальные рабочие процессы — от первых шагов до полноценной интеграции в производственные и медицинские задачи.

Наша цель — сделать использование аддитивных технологий простым, понятным и эффективным инструментом для специалистов!